Sound Emission Analysis
| A service provided by |
|---|
|
| Polymer Service GmbH Merseburg |
| Tel.: +49 3461 30889-50 E-Mail: info@psm-merseburg.de Web: https://www.psm-merseburg.de |
| Our further education offers: https://www.psm-merseburg.de/weiterbildung |
| PSM on Wikipedia: https://de.wikipedia.org/wiki/Polymer Service Merseburg |
Sound emission analysis
General
One method of materials testing that has gained importance in recent years is sound emission analysis (SEA) or sound emission testing. This is an acoustic testing method for investigating sound emissions with the aim of determining the type and condition of the sound sources and the exciting stress process. The cause of acoustic emissions (sound emissions, SE) in the form of elastic stress waves can be seen, for example, in damage to phase boundary areas in fibre-reinforced plastics or crack formation and crack propagation processes, which act as sound sources and result from mechanical (over)stress (see: mechanical stress). These processes can be detected using suitable measurement technology.
Setting up a sound emission workplace
The following Fig. 1 shows a schematic representation of the basic setup of a workplace for sound emission analysis.
| Fig. 1: | Basic set-up of a sound emission workplace |
The sound emission analysis method is classified as a quasi-non-destructive testing method in materials testing. The reasons for this are that, on the one hand, it is linked to active defects under external load (destructive), but on the other hand, the sound emissions occur long before the ultimate material failure. Acoustic emission tests on metals and plastics are carried out in the frequency range between 50 kHz and 2 MHz.
The mechanical stress waves propagate spherically from the point of origin. They can be converted into analogue electrical signals at any point on the component using a piezoelectric ceramic transducer. As it propagates through the material, the original signal undergoes numerous changes due to dispersion and reflection, which is why the received signal has little in common with the original signal. This means that a square wave pulse becomes a long, slowly rising and falling signal.
Other reasons for changes to the original signal are:
- Material-intrinsic loss mechanisms
- Influences of the sensor system
- Smearing due to extraneous noise
In addition, the useful signal of the sound emission depends on the following factors.
- Viscosity of the coupling medium
- Layer thickness of the contact
- Surface quality of the component or test specimen
- Contact pressure between the transducer and the surface
- Transducer mass
The signal obtained can take various forms, which provide information about processes occurring in the material. On the one hand, there is continuous emission (Fig. 2), as observed in plastic, homogeneous deformations of metals. On the other hand, there are burst signals (Fig. 3), which occur in crack formation, crack propagation and friction processes, among others.
| Fig. 2: | Continuous emission |
| Fig. 3: | Burst signals |
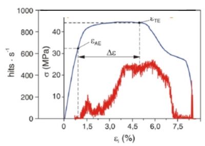
The fact that acoustic emissions only occur during mechanical stressing requires the coupling of acoustic emission analysis with a mechanical material testing method. To date, quasi-static tests such as tensile or bend tests have most commonly been coupled with acoustic emission analysis (see Fig. 4).
| Fig. 4: | Stress–strain curve (blue) and number of acoustic emissions (red) of glass fibre-reinforced polyamide 6 in a short-term tensile test |
Coupling sound emission analysis with the instrumented Charpy impact test
The recording of sound emissions during impact (dynamic) stress (see: impact loading plastics) for the purpose of evaluating the onset of damage is of particular practical relevance.
Figure 5 shows an example of an investigation in which the instrumented Charpy impact test (ICIT) was coupled with sound emission analysis (SEA) to record the acoustic emissions. With the aid of wavelet transformation (see: frequency analysis), it is possible to assign damage to a frequency range (see: frequency analysis).
| Fig. 5: | Result of coupling ICIT with AE for a polypropylene reinforced with short glass fibres at 20 m.-% |
See also
Reference
- Bardenheier, R.: Schallemissionsuntersuchungen an polymeren Verbundwerkstoffen. Part I: Das Schallemissionsmessverfahren als quasi-zerstörungsfreie Werkstoffprüfung Zeitschrift für Werkstofftechnik 11 (1980) pp. 41–46
- Schoßig, M.: Mechanische und bruchmechanische Bewertung von kurzglasfaserverstärkten Polyolefinwerkstoffen unter quasistatischer und dynamischer Beanspruchung. Vieweg+Teubner | Springer Fachmedien Wiesbaden GmbH (2011), (ISBN 978-3-8348-1483-8; see also AMK-Library under B 1-21) Content as pdf
