ICIT – Nonlinear Material Behaviour
| A service provided by |
|---|
|
| Polymer Service GmbH Merseburg |
| Tel.: +49 3461 30889-50 E-Mail: info@psm-merseburg.de Web: https://www.psm-merseburg.de |
| Our further education offers: https://www.psm-merseburg.de/weiterbildung |
| PSM on Wikipedia: https://de.wikipedia.org/wiki/Polymer Service Merseburg |
ICIT – Nonlinear material behaviour
Determination of impact load FGY and deflection fGY for elastic–plastic material behaviour
The dominant evaluation method problem of the instrumented Charpy impact test in determining fracture mechanical material parameters from impact load (F)–deflection (f) diagrams with nonlinear material behaviour lies in the determination of the force FGY at the transition from elastic to elastic–plastic material behaviour and the associated deflection fGY [1, 2].
Typical impact load‒deflection diagrams for polypropylene (PP)
The problem of determining the measured variables from the F–f diagram will be explained using the example of investigations into the dependence on the a/W ratio for a polypropylene (abbreviation: PP) material at room temperature.
| Fig. 1: | Typical impact load (F)–deflection (f) diagrams for polypropylene (abbreviation: PP) at different a/W ratios |
Figure 1 shows typical F–f diagrams for the various a/W ratios 0.1, 0.3, 0.45, and 0.7 (see also: ICIT – types of impact load–deflection diagrams).
The F–f diagrams shown indicate that
- the relationship between impact load and specimen deflection becomes increasingly nonlinear as the a/W ratio increases
- the maximum impact load Fmax decreases as the a/W ratio increases, and
- the amplitude of the inertial load F1 remains approximately constant.
For a/W > 0.7, the forces Fmax and FGY become so small in comparison to the superimposed oscillation that the condition Fmax > F1 (see also: ICIT – experimental conditions) can no longer be fulfilled and it is not possible to determine them meaningfully in the recording diagram.
Results for selected plastics
Analogous results were also obtained in [1] for a post-chlorinated PVC material (abbreviation: PVC-C) [3, 4], two polyamide (abbreviation: PA) materials [4, 5], a high-density polyethylene (abbreviation: PE-HD) [5], on PE-HD filled with cotton (BW) and on PE-HD filled with hard paper (HP) [6].
Figure 2 shows the decrease in maximum impact load Fmax with increasing a/W ratio, i.e., smaller residual cross-section for these materials.
| Fig. 2: | Dependence of the maximum impact load Fmax on the a/W ratio for selected plastics |
In order to generate suitable F–f diagrams for the evaluation, the demand for the use of a low a/W ratio is derived from the results presented, whereby the evaluability of the diagrams must be ensured by complying with the control condition explained under “ICIT – experimental conditions” with regard to the inertial load, the fracture time and the energy consumption.
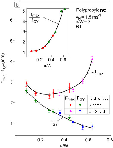
This requirement is in contrast to the requirements set out in various standards, e.g. in [7], according to which the a/W ratio should be 0.35 ≤ a/W ≤ 0.55 for application according to the concept of linear-elastic fracture mechanics (LEBM) (see also: fracture mechanics) or the equivalent energy concept. The loads Fmax and FGY determined from the F–f diagrams decrease with the decrease in the residual cross-section B(W-a) for the materials investigated, as shown in Fig. 3.
| Fig. 3: | Dependence of the loads Fmax, FGY (a) and the corresponding deflections fmax, fGY (b) for polypropylene (abbreviation: PP) on the a/W ratio |
Evaluation of the non-linearity of material behaviour
Information about the non-linearity is provided by the ratio Fmax/FGY, which is plotted in the partial image in Fig. 3 as a function of the a/W ratio. For Fmax/FGY = 1, linear-elastic fracture mechanics (LEFM) must be applied and for Fmax/FGY > 1, elastic–plastic fracture mechanics (EPFM) must be applied. Not unproblematic in its interpretation is the course of the deflection with increasing a/W ratio, which, in addition to the problem of the bending of the notched test specimen with large deflections and the change in the notch factor αK with the notch geometry, also contains the additional possible effect of the “pulling through” of the test specimens through the abutments, at least for large support distance [1]. If the ratio of the deflections fmax/fGY is taken as a measure of the non-linearity, it can be seen that this increase is a sensitive indicator of the non-linearity and allows a statement to be made about the fracture mechanics concept to be applied.
Assuming [1, 8] that the experimentally measured specimen deflection fmax is calculated of the unnotched part fB and the part fK caused by the deformation in the area of the notch according to
| (1) |
whereby the bending component is determined via the relationship
| (2) |
with E = modulus of elasticity in the bending test, the relationship shown in Fig. 3 can be interpreted (see also: extended CTOD concept).
Figure 4 shows the individual parts according to equation (1) as a function of the a/W ratio using the example of a polypropylene material (abbreviation: PP).
| Fig. 4: | Deflection parts fmax, fK and fB at the beginning of unstable crack growth for polypropylene (abbreviation: PP) |
Figure 4 shows that the bending component decreases with increasing a/W ratio, i.e. at a/W = 0.1 it accounts for 40 % of the total deflection and at a/W = 0.7 only 5 %. For high notch depths, the part fK dominates.
In [1] it is shown for materials with higher elastic proportions of the total deformation, such as selected PA materials and PVC-C, that the bending proportion is considerably higher in this case.
See also
- Fracture mechanics
- Deformation
- ICIT – experimental conditions
- Instrumented Charpy impact test
- Viscoelastic material behaviour
References
| [1] | Grellmann, W.: Beurteilung der Zähigkeitseigenschaften von Polymerwerkstoffen durch bruchmechanische Kennwerte. Habilitation (1986), Technischen Hochschule Merseburg, Wiss. Zeitschrift TH Merseburg 28 (1986), H. 6, pp. 787–788 (Content, Summary) |
| [2] | Server, W. L.: Impact Three-point Bend Testing for Notched and Precracked Specimens. Journal of Testing and Evaluations JTEVA, 6 (1978) 1, 29–34 |
| [3] | Hoffmann, H., Grellmann, W.: Zur Bestimmung der dynamischen Bruchzähigkeit von Polymerwerkstoffen im instrumentierten Kerbschlagbiegeversuch. Plaste und Kautschuk 30 (1983) Publ. Nr. 14 H. 6, 324‒330 (Download as pdf) |
| [4] | Hoffmann, H., Grellmann, W., Zilvar, V. Sommer, J. P., Michel, B.: Anwendung verschiedener J-Integral-Näherungsverfahren zur Beschreibung der Zähigkeitseigenschaften von Polymerwerkstoffen. Wiss. Zeitschrift der THLM 28 (1986) H 1, 58‒67 |
| [5] | Eve, S.: Untersuchungen zum Einfluss der Kerbtiefe und der Hammergeschwindigkeit auf die dynamische Bruchzähigkeit mit Hilfe des instrumentierten Kerbschlagbiegeversuches. Ingenieurbeleg TH Leuna-Merseburg, 1983 (siehe AMK-Library unter B 3-15) |
| [6] | Seidler, S.: Kerbschlagbiegeverhalten von gefüllten und verstärkten Polymerwerkstoffen. Ingenieurbeleg, TH Leuna-Merseburg 1983 (see AMK-Library under B 2-14) |
| [7] | ASTM E 399 (2024): Standard Test Method for Linear-Elastic Plane-Strain Fracture Toughness of Metallic Materials, Annual Book of ASTM Standards; DOI: 10.1520/E0399-24 |
| [8] | Srawley, J. E.: On the Relation of JI to Work Done per Unit Incracked Area: 'Total', or Component "Due to Crack". Intern. Journal of Fracture Mechanics 12 (1976) 470‒474; https://link.springer.com/article/10.1007/BF00032843#citeas |





