Ashing Method
| A service provided by |
|---|
|
| Polymer Service GmbH Merseburg |
| Tel.: +49 3461 30889-50 E-Mail: info@psm-merseburg.de Web: https://www.psm-merseburg.de |
| Our further education offers: https://www.psm-merseburg.de/weiterbildung |
| PSM on Wikipedia: https://de.wikipedia.org/wiki/Polymer Service Merseburg |
Ashing method
Ashing methods
To experimentally determine the quantitative content of inorganic fillers or reinforcing materials, the ashing method is often used in testing practice, which is carried out either with the aid of
| A) | a muffle furnace up to 700 °C and an analytical weighing instrument or | |
| B) | the thermogravimetric analysis (TGA) |
In both methods, the organic content is burned and the remaining inorganic residue is evaluated, which allows only the quantity or mass of inorganic fillers and reinforcing materials to be determined [1]. In dissolution methods, which are not considered here, organic fillers and reinforcing materials can also be selected using suitable solvents [2].
Implementation of ashing methods
To carry out the procedure under A), you will need an analytical weighing scale, a muffle furnace for temperatures up to 700 °C, porcelain crucibles with a capacity of 20 ml, a desiccator filled with CaCl2 and crucible tongs [3, 4]. Before weighing, the crucibles must first be cleaned and annealed.
Weigh 0.3 to 0.5 g of the substance to be ashed into a crucible and anneal the crucible with the sample in a muffle furnace preheated to approx. 650 °C until the weight remains constant (at least 1 hour) so that the entire organic content is gasified. If necessary, the annealing temperature can be set slightly higher. The ash must not show any dark discoloration from charred substance. The crucible is removed from the furnace, allowed to cool in a desiccator, and then weighed.
The ash R and the loss on ignition P are evaluated mathematically, and the weight loss is expressed as a percentage by mass:
| Residue | in % | |
| Loss on ignition | in % |
where:
| m1 | Crucible empty | |
| m2 | Crucible with sample before ashing | |
| m3 | Crucible with residue after ashing. |
In thermosetting plastics, the residue contains all inorganic substances, i.e. rock flour, glass fibres and mineral pigments, but no organic substances such as cellulose, cotton textile, etc.
In glass fibre-reinforced casting resins and glass fibre reinforced thermoplastics, the residue usually corresponds well to the glass fibre content. It is also possible to detect whether powdered fillers such as rock flour or glass balls are present.
In order to accurately determine the length of glass fibres, it is often advantageous to dissolve the plastic with a suitable solvent and filter it, as certain types of glass may melt during ashing [1].
To carry out the procedure under B), thermogravimetric analysis (TGA) measurement systems can be used, which, in addition to determining inorganic fillers, also provide information on oxidation stability, moisture content, the effect of ageing stabilisers and decomposition [5, 6].
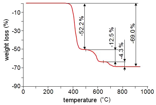
| Fig.: | Thermogravimetric curve of PTFE-filled PBT-GF 30, determination of the proportions of PTFE (12.5 %) and GF (31 %) [1]. |
The Figure shows the TGA curve of PBT-GF 30, additionally filled with PTFE to improve the sliding properties. First, there is a weight loss of 52.2 % (PBT) at 420 °C, then a weight loss of 12.5 % (PTFE) at 587 °C. At 650 °C, the pyrolysis carbon burns at 4.3 % and the remaining 31 % corresponds to the glass fibre content of 31 % (GF 30).
See also
- Glass fibre orientation
- Hybrid methods, examples
- Heterogeneity
- Laser-Heterogeneity of strain distribution
- Curing
- Density
References
| [1] | Hellerich, W., Harsch, G., Baur, E.: Werkstoff-Führer Kunststoffe – Eigenschaften, Prüfungen, Kennwerte. Carl Hanser, Munich Vienna (2010) 10th Edition, (ISBN 978-3-446-42436-4; see AMK-Library under G 37) |
| [2] | ISO 11667 (1997-12): Fibre-reinforced Plastics – Moulding Compounds and Prepregs – Determination of Resin, Reinforced-fibre and Mineral-filler Content – Dissolution Methods |
| [3] | ISO 1172 (2023-08): Textile-glass-reinforced Plastics – Prepregs, Moulding Compounds and Laminates – Determination of the Textile-glass and Mineral-filler Content Using Calcination Methods |
| [4] | ISO 3451: Plastics – Determination of Ash |
| Part 1 (2025-07): General Methods (Draft) | |
| Part 2 (1992-05): Poly(alkylene terephthalate) Materials | |
| Part 3 (1984-05): Unplasticized Cellulose Acetate | |
| Part 4 (2024-02): Polyamide | |
| Part 5 (2025-04): Poly(vinyl chloride) | |
| [5] | DIN 51006 (2024-02): Thermal Analysis (TA) – Thermogravimetry (TG) – Principles |
| [6] | ISO 11358-1 (2022-03): Plastics – Thermogravimetry (TG) of Polymers – Part 1: General Principles |

